Flestolol
Names
IUPAC name
3-{[1-(Carbamoylamino)-2-methyl-2-propanyl]amino}-2-hydroxypropyl 2-fluorobenzoate
Identifiers
3D model (JSmol)
ChemSpider
KEGG
UNII
  • InChI=1S/C15H22FN3O4/c1-15(2,9-18-14(17)22)19-7-10(20)8-23-13(21)11-5-3-4-6-12(11)16/h3-6,10,19-20H,7-9H2,1-2H3,(H3,17,18,22)
    Key: ZPLOQFLCMVIWRY-UHFFFAOYSA-N
  • CC(C)(CNC(=O)N)NCC(COC(=O)C1=CC=CC=C1F)O
Properties
C15H22FN3O4
Molar mass 327.356 g·mol−1
Except where otherwise noted, data are given for materials in their standard state (at 25 °C [77 °F], 100 kPa).
Infobox references

Flestolol is a short-acting beta adrenergic receptor antagonist.[1]

Synthesis

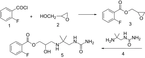
Flestolol synthesis:[2]

Acylation of glycidol (2) with the acid chloride 1 produces the ester 3. Reaction of that intermediate with amine 4, obtained by reaction of 1,1-dimethylethylenediamine with urea, gives flestolol (5).

References

  1. Quon, CY; Stampfli, HF (1993). "Biochemical characterization of flestolol esterase". Research communications in chemical pathology and pharmacology. 81 (3): 309–22. PMID 8235065.
  2. Kam, Sheung Tsam; Matier, William L.; Mai, Khuong X.; Barcelon-Yang, Cynthia; Borgman, Robert J.; O'Donnell, John P.; Stampfli, Herman F.; Sum, Check Y.; Anderson, William G. (1984). "[(Arylcarbonyl)oxy]propanolamines. 1. Novel .beta.-blockers with ultrashort duration of action". Journal of Medicinal Chemistry. 27 (8): 1007. doi:10.1021/jm00374a013. PMID 6146718.



This article is issued from Wikipedia. The text is licensed under Creative Commons - Attribution - Sharealike. Additional terms may apply for the media files.