As far as I understand, in the vector-cardiogram, the Heart Vector H(t) changes from time to time, and its projection to each induction direction is induction I, II and III. In other words, we have first the following time-dependent Vector.

Here, θ(t) is the declination angle between H(t) and I induction measured in counterclockwise direction.
The Lissajous curve plotting the trajectory (green dotted line) of the Heart Vector (yellow arrow) is called a Vectorcardiogram.

https://i.stack.imgur.com/AydpU.png
And according to the same manner of thinking - which is a bit virtual - if the change in potential corresponding to the curve in each of your graphs could be measured independently in at least two inductions, you could create a vector for each component. Let it be H1, H2, H3, ... then the vector H, which is the basis of the entire ECG, would be decomposed as follows
H=H1+H2+...
Let us now review the relationship between each induction and the vector ECG.
Since the time variable t is considered fixed thereafter, it is omitted from the equation. In the figure below,
and,

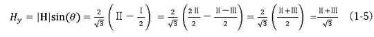
If we simply write I, II, and III induction readings (V I, V II, and V III) as I, II, and III, respectively.
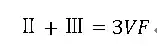
The following relationship is obtained from the assumption that the projection of H in each induction direction is I, II, and III induction, respectively;

Here, from the following calculations, we find that the Einthoven's relation formula holds as follows;

That means,

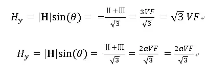
Then, eliminating the term cos from equations (1-2-II) and (1-2-III), we obtain;

So,

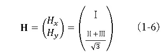
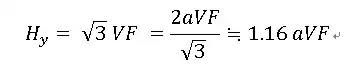
And by combining (1-6) with the Einth-Haens equation, we obtain

So finery we get,

So much for the essential argument.
ーーーーーーーーーーーーーーーーーーーー
From now on, we will look at the relationship between the potentials actually measured by the electrocardiograph, namely aVL, aVR, aVF, VL VR, and VL, and the Heart Vector.
Now, two types of circuits are often used in ECGs: Wilson-type circuits that measure VL, VR, and VF, and Coldberger-type circuits that measure aVL, aVR, and aVF. Since both circuits are grounded, the absolute reference of the circuit (i.e., the ground electrode) is the potential of the earth's surface (this is how it is expressed in circuit books, but frankly it can be anywhere as long as the potential is not indefinite), and the potentials of the L, R, and F electrodes from the absolute reference of the circuit can be calculated respectively as
.
Since the potential difference does not depend on the way the reference is taken, we get

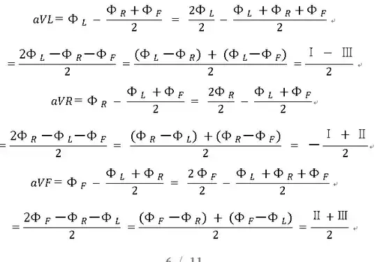
In the Coldberger-type circuit, aVL, aVR,aVF are recorded, and the circuit configuration is shown in the figure below, respectively (actually, all are measured simulteniously)

If we follow the mannerisms of a high school physics textbook, we get

This relational equation is called the Coldberger's equation.

means

So,

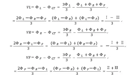
Similarly, in the Wilson-style circuit configuration,

Here,


So, we get

and,

In light of the above discussion;

So,

And finally we get,

Here, I will write it down to avoid confusion, the conclusion of the discussion of above two types of circuit configurations can be summarized as follows, although this is also valid for ordinary

See also
◆References
https://www.physoc.org/magazine-articles/trigonometry-of-the-ecg/
https://www.bem.fi/book/15/15.htm