Khan Academy (English - US curriculum)
Math by grade
High school
Algebra 2
Rational exponents and radicals
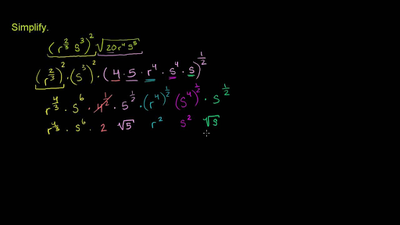
Properties of exponents (rational exponents)
Properties of exponents (rational exponents)
Rewriting quotient of powers (rational exponents)
Properties of exponents intro (rational exponents)
Rewriting mixed radical and exponential expressions
Properties of exponents (rational exponents)