Khan Academy (English - US curriculum)
Math
Algebra 1
Exponents & radicals
Simplifying square roots
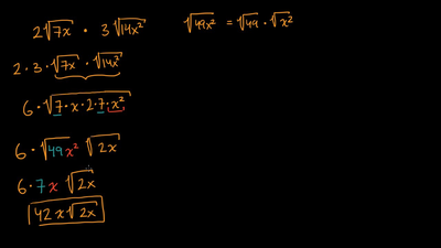
Simplifying square roots
Simplifying square roots
Simplify square roots
Simplifying square roots (variables)
Simplify square roots (variables)
Simplifying square-root expressions
Simplify square-root expressions