Khan Academy (English - US curriculum)
Math by grade
High school
Algebra 2
Polynomial factorization
Factoring monomials
Factoring monomials
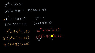
Introduction to factoring higher degree polynomials
Introduction to factoring higher degree monomials
Which monomial factorization is correct?
Worked example: finding the missing monomial factor
Worked example: finding missing monomial side in area model
Factor monomials