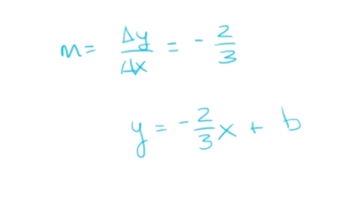
Learn how to write the equation of a line (in slope-intercept form) when given the graph of the equation or two points on the line. For example, write the equation of the line that passes through the points (0,1) and (5,4).