Khan Academy (English - US curriculum)
Math
AP®︎ Calculus AB
Differential equations
Finding general solutions using separation of variables
Finding general solutions using separation of variables
Separable equations introduction
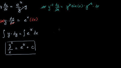
Addressing treating differentials algebraically
Separable differential equations: find the error
Worked example: separable differential equations
Separable differential equations
Worked example: identifying separable equations
Identify separable equations