Khan Academy (English - US curriculum)
Math
Precalculus
Composite and inverse functions
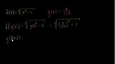
Composing functions
Composing functions
Intro to composing functions
Evaluating composite functions
Evaluate composite functions
Evaluating composite functions: using tables
Evaluating composite functions: using graphs
Evaluate composite functions: graphs & tables
Finding composite functions
Find composite functions
Evaluating composite functions (advanced)