Khan Academy (English - US curriculum)
Math
AP®︎ Calculus BC
Applying derivatives to analyze functions
Using the mean value theorem
Using the mean value theorem
Mean value theorem
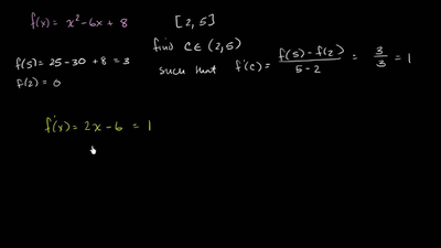
Mean value theorem example: polynomial
Mean value theorem example: square root function
Using the mean value theorem
Justification with the mean value theorem: table
Justification with the mean value theorem: equation
Justification with the mean value theorem
Mean value theorem application