Khan Academy (English - US curriculum)
Math
Get ready for Precalculus
Get ready for vectors and matrices
Equivalent systems of equations and the elimination method
Equivalent systems of equations and the elimination method
Systems of equations with elimination: King's cupcakes
Why can we subtract one equation from the other in a system of equations?
Elimination strategies
Combining equations
Elimination strategies
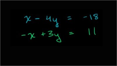
Systems of equations with elimination: x-4y=-18 & -x+3y=11
Systems of equations with elimination
Systems of equations with elimination: potato chips
Systems of equations with elimination (and manipulation)
Systems of equations with elimination challenge
Worked example: equivalent systems of equations
Worked example: non-equivalent systems of equations
Reasoning with systems of equations