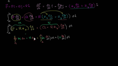
Proof of Stokes' theorem

You know what Stokes' theorem is and how to apply it, but are craving for some real proof that it is true. Well, you've found the right tutorial!