Khan Academy (English - US curriculum)
Math
Get ready for APĀ® Calculus
Get ready for limits and continuity
Factoring quadratics with perfect squares
Factoring quadratics with perfect squares
Perfect square factorization intro
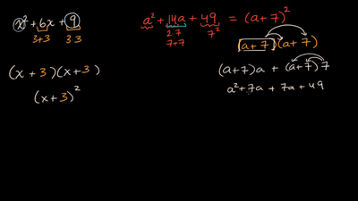
Perfect squares intro
Factoring perfect squares
Identifying perfect square form
Factoring perfect squares: negative common factor
Factoring perfect squares: missing values
Factoring perfect squares: shared factors
Perfect squares