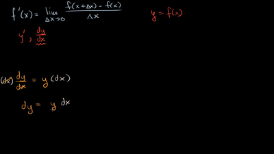
Separable equations

Arguably the 'easiest' class of differential equations. Here we use our powers of algebra to "separate" the y's from the x's on two different sides of the equation and then we just integrate!